IBDP数学涉及范围广,包含初级,中级,高级数学课程内容,知识点多,但题目偏容易,拿到 5-6 分正常。IB考试整个流程较为庞大,内容多,涉及知识面宽、广,综合性强。考查学生综合能力。
IB数学在安排上,采用了分层教学,分为了SSL(studies),SL(standardlevel),HL(high level)和Further HL这四层,难度依次递增,学生可以根据自身能力和学校开设情况来选择自己合适的那一层进行学习。而IB学校必须开设的两个层次是SL和HL,目前国内还没有开设Further HL的学校。
题目精析
很显然,这是一道三角函数(trigonometry)的考题,主要考察考生对各种公式以及三角函数特殊值的熟悉程度,利用好data booklet上的各种公式,这道7分题目将会迎刃而解。

通过两角和公式我们可以把cos(2A+B)写成cos2AcosB -sin2AsinB,接着通过二倍角公式可以进一步地写成
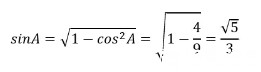
紧接着,就是把我们题目所给的相应的值给带进去,可是留意到题目并没有直接给出cosB以及sinA的值,这也是需要我们去求的。
根据公式

我们可以求出

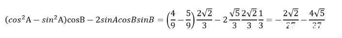
根据同样的方法,可求出

紧接着,把求出来的值带入原式

证毕。
总结
虽然这道题的难度并不大,但是他却启发我们一定要善用熟练三角函数的各种公式并学会融合贯通,二倍角、半倍角、两角和两角差的公式我们都要比较熟悉。
以上就是小编为大家整理的关于IB数学考试难度及试题分析,希望对大家有所帮助。更多ib课程难吗、ib都有哪些课程等问题可以咨询我们。
上一篇:IB经济学考什么?如何考核?
下一篇:练习:IB数学试题精讲(二)
IB英语是所有IBDP体系学生都会选择的课程,分为英语A和英语B。数据表明,在过往2次IBO官方统计的成绩中,英语B的全球均分变化是5.73-5.23,2019年11月统测分数更能体现广大考生真实水平,均分低至5.23。
IB-PYP(Primary Years Program),PYP是国际文凭组织(IBO)为具有长远教育需求的3-12岁学生设计的,重在引导学生成为课堂上和生活中的探索者,其核心是形成对重要概念(concepts)的 理解、形成积极的态度(attitudes)、掌握基本的知识和技能(skills)、采取负责的行动(action)。旨在培养有质疑能力,有知识并且懂得关爱的年轻人,通过跨文化理解和尊重去创造美好, 和平的世界。鼓励全世界的学生成为积极,热情,理解他人,尊重差异的终身学习者。
IB-DP(高中阶段)的课程一共有九门,其中三门称为核心特色课程,另外六门称为基本课程(这里就不再过多阐述),三大核心特色课程包括EE、TOK、CAS。而AI则是指内部考评。下面简单介绍一下: