目前IB物理课程与之前旧版相比,学习内容上有一些变化。有的章节在旧版大纲中,只对HL有要求,如今SL同样需要,如抛物运动、驻波等;也有的章节在新大纲第一次以独立小节出现,如转动、电容;还有的已经被新纲要删除,如二进制等。下面就和小编一起看看今天的物理考点讲解吧。
弹性势能
发生弹性形变的物体的各个部分之间,由于有弹力的相互作用而具有势能,这种势能叫做弹性势能。
弹性势能表达式:

(设弹簧处于原长时,弹簧的弹性势能为零)
探究弹性势能
影响弹性势能的因素
①形变量△x(是否成正比?思考)
②劲度系数k
类比
①重力做功:研究重力势能
Ep=mgh
②弹力做功:研究弹性势能
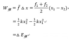
重力做功:WG=mg(h1-h2)=△Ep
重力做功和△h成正比
弹力做功类比于
W弹=△Ep弹
已知f=kx,那么f与形变量△x成正比。
所以W弹=f平均*△x

变力做功的处理方法
①微元法
②图像法
弹力功与弹性势能的关系
①弹力做正功,弹性势能减小
②弹力做负功,弹性势能增大
弹性势能和重力势能的关系

习题演练
判断题
1. 弹性势能与形变量△x成是否正比()
2. 发生形变的物体具有弹性势能()
3. 当弹簧变长时,它的弹性势能一定增大()
4. 若规定弹簧处于原长时,弹簧弹性势能为0,则弹簧的弹性势能不可能为负值。()
习题解析
1. 不成正比,因为弹力是变力,它是变量。所以不能说弹性势能与形变量△x成正比。
2. 发生弹性形变的物理才有
3. 超过弹性限度后,弹性失去部分弹性
4. 说的对
以上就是小编为大家整理的关于IB物理考试中探究弹性势能的表达式详解,希望对大家有所帮助。更多IB如何选课程、IB课程内容等问题可以咨询我们。
IB英语是所有IBDP体系学生都会选择的课程,分为英语A和英语B。数据表明,在过往2次IBO官方统计的成绩中,英语B的全球均分变化是5.73-5.23,2019年11月统测分数更能体现广大考生真实水平,均分低至5.23。
IB-PYP(Primary Years Program),PYP是国际文凭组织(IBO)为具有长远教育需求的3-12岁学生设计的,重在引导学生成为课堂上和生活中的探索者,其核心是形成对重要概念(concepts)的 理解、形成积极的态度(attitudes)、掌握基本的知识和技能(skills)、采取负责的行动(action)。旨在培养有质疑能力,有知识并且懂得关爱的年轻人,通过跨文化理解和尊重去创造美好, 和平的世界。鼓励全世界的学生成为积极,热情,理解他人,尊重差异的终身学习者。
IB-DP(高中阶段)的课程一共有九门,其中三门称为核心特色课程,另外六门称为基本课程(这里就不再过多阐述),三大核心特色课程包括EE、TOK、CAS。而AI则是指内部考评。下面简单介绍一下: